삼각형, 사각형 등 다각형의 넓이와 원의 넓이를 구하는 방법은 초등학생 때 배웠죠!
(요즘애들은 배우는지 모르겠습니다.. 초등 졸업한지 약 5년,,)
중학생이 되고, 일차함수, 이차함수를 배웠습니다. 그런데 이차함수는 곡선???
곡선으로 둘러쌓인 넓이는 어떻게 구할까요..?
잘라서 붙이면 된다고 생각했지만..안되는 것들이 더 많더라구요..
그럴 때 사용하는 것이.. 적분!

고2 수학2 과정에서 정적분을 배우면 정적분의 방법으로 함수를 적분하고 구간을 나눠서 넓이를 구할 수 있습니다!

하지만 이해는..힘들죠
그래서 기하학적으로 접근해보겠습니다아

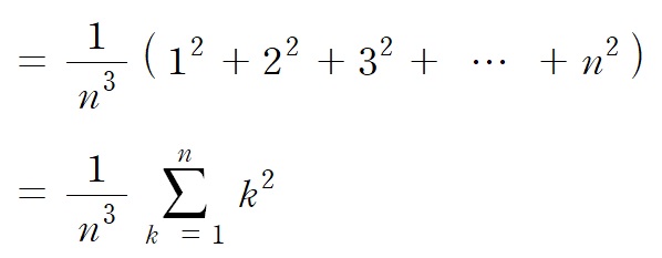
n개의 사각형을 만들었다면, 모든 사각형의 가로는 n분의 1이 되고, 가장 작은 사각형의 세로는 n분의 1의 제곱이 됩니다. 그럼 가장 작은 사각형의 넓이는 n분의 1의 제곱 곱하기 n분의 1이 됩니다.

이렇게 첫번 째 사각형부터 n번 째 사각형의 넓이를 모두 더해주면!!



이러한 식이 나왔죠. 그렇지만 사각형은 곡선에 딱 맞지 안아서 넓이가 아주 미세하게 다를텐데요..
그래서 n개의 사각형이 아닌, 무한히 많은 사각형으로 나눠줍니다. 곡선과 일치하게요.

무한히 많은 사각형의 넓이의 합은 곡선 아래의 도형의 넓이와 같으니, 아까 구한 합의 공식의 극한값을 구해주면 정적분으로 구한 넓이와 같은 3분의 1이 나오게 됩니다!

수열, 수열의 합, 극한, 미적분, 무한의 개념을 알아야 하는 부분이라 어려울 수도 있지만 이것이 적분의 가장 기본이 되는 것이라니.. 앞으로 무엇을 더 배울지 학생으로서 기대가 됩니다..ㅎㅎ
이걸 포스팅한 이유는 수학 주제탐구 보고서 쓰다가 여기에도 그냥 남기고 싶었어요^^
아참, 그리고 이렇게 도형의 넓이 또는 부피를 잘게 쪼개어 근삿값을 구하고, 이 근삿값의 극한값으로 그 도형의 넓이와 부피를 구하는 방법을 구분구적법이라고 합니다!
- 이상 알쓸신잡 TMI 였습니다 -
